As revealed by recent documents obtained through the Freedom of Information Act, a classified artificial intelligence system called Sentient can “see and detect” UFOs.

Sentient – The AI System To Detect UFOs
In 2021, a highly classified system within the US National Reconnaissance Office (NRO) detected what it described as a small (<10m) “tic tac” shaped object that “did not match the visual signature of typical aircraft detections’.
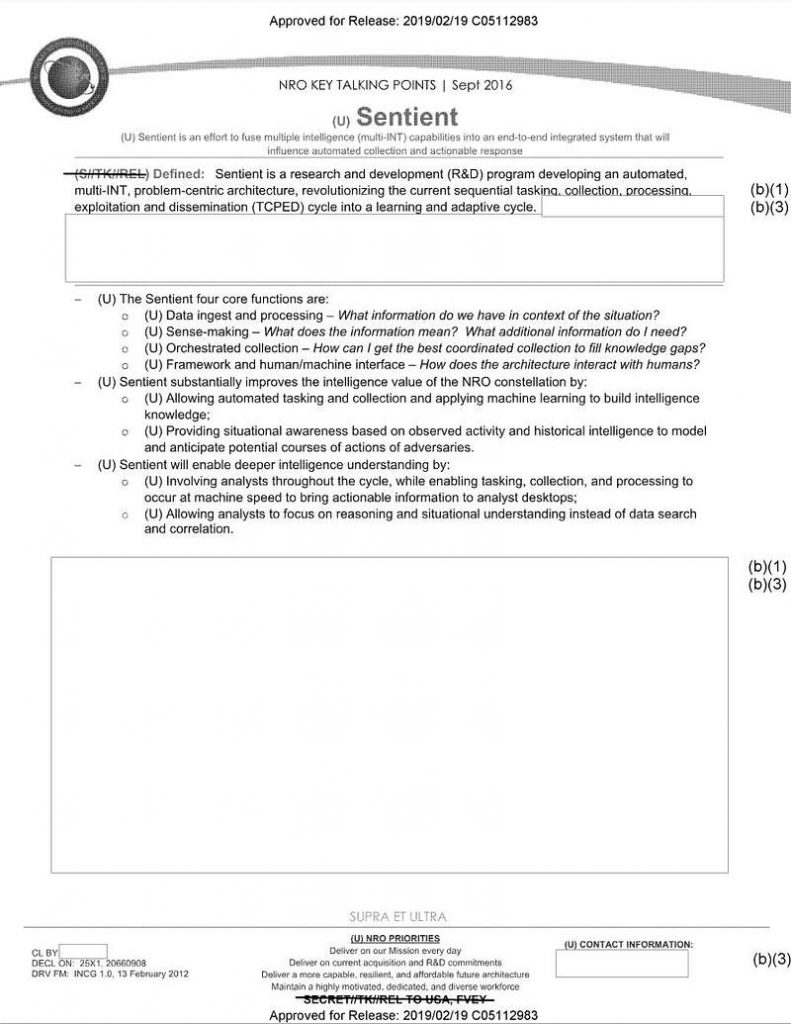
The artificial intelligence (AI) system that observed this object is called Sentient. Its details and features remain highly classified, and what little is known sounds like something you’d see in a dystopian sci-fi movie.
« Sentient is (or at least pretends to be) an omnivorous analysis tool, capable of devouring data of all kinds, making sense of the past and present, anticipating the future and pointing satellites at what it determines will be the most interesting parts of that future. future,” wrote journalist Sarah Scoles in a 2019 article published in The Verge, describing the show.

However, in the midst of so much secrecy, at least one of its capabilities was revealed in 2022 through multiple documents released under the Freedom of Information Act (FOIA): it can see and detect UFOs.
A record proving that was submitted to The Black Vault a few weeks ago by investigator Kyle Warfel, who received one of the documents via his own FOIA request filed in May 2022, originally sent to the Department of State’s Office of Inspector General. Defense (DoD), then forwarded to the NRO for review.
While researching this article, The Black Vault discovered that there were actually numerous records already released by the NRO about this 2022 Unidentified Aerial Phenomenon (UAP) sighting that surprisingly evaded media attention. The original applicant for that case remains unknown at the time of this writing.
The detection of the UAP occurred on May 6, 2021, and various records published by the NRO can be pieced together to glean some minor details.
For example, the unknown object is recorded as “…vaguely [resembling] similar detections of airborne objects by US Navy aircraft and vessels in the areas of operations *redacted* and *censored*”.
The location where this object was detected remains unknown, but a censored PowerPoint presentation released by the NRO links earlier US Navy sightings to the 2004 Nimitz encounter.
The filing also stated that the object was “…probably not a sensor artifact or focal plane anomaly, although further image analysis is warranted.” To reinforce that a sensor artifact anomaly was not likely, a second observation of the UAP detected by at least one other sensor was performed.
“The object was also detected/seen in a second overwater image taken in the same area ~15 seconds later,” the filing said.

If this is true, it means that multiple sensors captured the same object within the same zone and could be used together for further analysis. However, all of that will likely remain heavily classified given the censorship already imposed on published records.
What can be deduced is the fact that the NRO’s Sentient program can be used to detect UAPs, and may even have a built-in model for such a task. You just need to be “on” for such a thing.
The Black Vault has filed additional FOIA requests in hopes of revealing more details and images of the sighting. The additional requests are intended to search for more UAP detections by Sentient.
Source: TBV
Shop amazing Alien Merchandise at our store, Follow us on Facebook, Instagram, And Twitter For More Interesting Content Also Subscribe To Our Youtube Channel. If you have faced any supernatural or unexplainable event then you can submit your own story to reach out to more people using our website as a medium.








